Random Variables and Distribution Functions MCQs

Refer to Random Variables and Distribution Functions MCQs provided below. Business Statistics MCQ questions with answers are available for download in Pdf. The MCQ Questions for Business Statistics with answers are aligned as per the latest syllabus and exam pattern suggested for your exams. Multiple Choice Questions for Random Variables and Distribution Functions are an important part of exams for Business Statistics and if practiced properly can help you to improve your understanding of Random Variables and Distribution Functions and get higher marks. Refer to more Chapter-wise MCQs for Business Statistics and also download more latest study material for all subjects

MCQ for Business Statistics Random Variables and Distribution Functions

Business Statistics students should refer to the following multiple-choice questions with answers for Random Variables and Distribution Functions

Random Variables and Distribution Functions MCQ Questions Business Statistics with Answers

Question. For what values of k can f(x) = (1-k) kx
a) 0<k<1
b) k=0
c) k>1
d) None of the options

Answer: A

Question. In a business venture a man can make a profit of Rs 2,000 with probability of 0.4 or have a loss of Rs 1,000 with a probability of 0.6. His expected profit is
a) 100
b) 200
c) 400
d) 300

Answer: B

Question. Obtain the probability distribution of the number of sixes in 2 tosses of dice
a) x/p(x), 0/(4/9), 1/(4/9), 2/(1/9)
b) x/p(x), 0/(4/72), 1/(1/9), 2/(1/9)
c) x/p(x), 0/(4/9), 1/(4/36), 2/(8/9)
d) x/p(x), 0/(25/36), 1/(10/36), 2/(1/36)

Answer: D

Question. Three cards are drawn at random successively, with replacement, from a well shuffled pack of cards. Getting a card of ‘diamonds’ is termed as success. Obtain the probability distribution of the number of successes.
a) x/p(x), 0/(27/64), 1/(27/64), 2/(9/64), 3/(1/64)
b) x/p(x), 0/(1/9), 1/(4/9), 2/(1/9), 3/(6/9)
c) x/p(x), 0/(4/9), 1/(4/9), 2/(1/9), 3/(5/9)
d) x/p(x), 0/(4/64), 1/(7/64), 2/(1/64), 3/(8/64)

Answer: A

Question. A contractor spends Rs. 3,000 to prepare for a bid on a construction project which, after deducting manufacturing expenses and the cost of bidding, will yield a profit of Rs. 25,000 if the bid is not won. If the chance of winning the bid is 10%, compute his expected profit?
a) 100
b) 607
c) 35
d) 200

Answer: D

Question. Determine which of the following given values can serve as the values of a probability distribution of a random variable with the range x = 1, 2, 3 and 4
a) f(1) = 0.25 , f(2) = 0.75 , f(3) = 0.25 , f(4) = -0.25
b) f(1) = 0.15 , f(2) = 0.27 , f(3) = 0.29 , f(4) = 0.29
c) f(1) = 1/19 , f(2) = 10/19 , f(3) = 2/19 , f(4) = 5/19
d) None of the options

Answer: B

Question. Two dices are thrown simultaneously and ‘getting a number less than 3’ on a die is termed as a success. Obtain the probability distribution of the number of successes
a) x/p(x), 0/(4/9), 1/(5/9), 2/(1/9)
b) x/p(x), 0/(1/9), 1/(4/9), 2/(1/9)
c) x/p(x), 0/(4/9), 1/(4/9), 2/(1/9)
d) x/p(x), 0/(4/9), 1/(7/9), 2/(1/9)

Answer: C

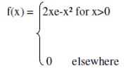
Question. Find variance for the random variable x that has the probability density

Random-Variables-and-Distribution-Functions-MCQs

a) 1/9
b) 2/9
c) 4/9
d) 5/9

Answer: B

Question. Suppose an insurance company offers a 45 year old man a Rs1,000. 1 year term insurance policy for an annual premium of Rs12 . Assuming that the number of deaths per 1000 is 5 for persons in this age this group. The expected gain for the insurance company on a policy of this type is
a) 7
b) 8
c) 9
d) 10

Answer: A

Question. In a random throw of n dice, the expectation of the sum of points on them is
a) n/2
b) 3n/2
c) 7n/2
d) 9n/2

Answer: C

Question. If X has the probability density

Random-Variables-and-Distribution-Functions-MCQs-1

Find the expected value of g(X) = e3x/4
a) 1
b) 2
c) 3
d) 4

Answer: D

Question. Given that X has the probability distribution f(x) = 1/8(3/x) for x = 0, 1, 2 and 3, find the moment-generating function of this random variable and use it to determine μ1`and μ2 `
a) 0
b) 3/2
c) 1/2
d) 1

Answer: B

Question. If X1 and X2 are independent random variables having exponential densities with the parameters a and b the probability density of Y = X1+ X2 when a ≠ b
a) f(y) = 1/a+b. (e-y/a – e-y/b ) for y > 0 and f(y) = 0 elsewhere
b) f(y) = 1/a-b. (e-y/a – e-y/b ) for y < 0 and f(y) = 1 elsewhere
c) f(y) = 1/a-b. (e-y/a – e-y/b ) for y > 0 and f(y) = 0 elsewhere
d) None of the options

Answer: C

Question. If X has a hypergeometric distribution with M = 3, N = 6 and n = 2, find the probability distribution of Y, the number of successes minus the number of failures
a) h(0) = 1/5 , h(1) = 3/5 , h(2) = 1/5
b) h(0) = 2/5 , h(1) = 3/8 , h(2) = 1/5
c) h(0) = 9/5 , h(1) = 3/5 , h(2) = 1/5
d) h(0) = 1/5 , h(1) = 4/5 , h(2) = 1/5

Answer: A

Question. If X has the uniform density with the parameters α = 0 and β = 1. Find the probability density of the random variable Y = √X
a) g(y) = y for 0 < y < 1 and g(y) = 0 elsewhere
b) g(y) = 2y for 0 < y < 1 and g(y) = 0 elsewhere
c) g(y) = 2y for 0 > y > 1 and g(y) = 0 elsewhere
d) None of the options

Answer: B

Question. A lot of 12 television sets include 2 with white chords. If 3 of the sets are chosen at random for shipment to the hotel, how many sets with white chords can the shipper expect to send to the hotel
a) 0
b) 1
c) 1/2
d) All of the above

Answer: C

Question. If X is the number of head obtained in 4 tosses of a balanced coin then find the probability distribution of the random variable Z = (X-2)2
a) z/h(z), 0/(3/8), 1/(4/8), 4/(1/8)
b) z/h(z), 0/(1/8), 1/(4/8), 4/(1/8)
c) z/h(z), 0/(3/8), 1/(2/8), 4/(1/8)
d) z/h(z), 0/(3/8), 1/(7/8), 4/(1/8)

Answer: A

Question. If the joint density of X1 and X2 is given by

Random-Variables-and-Distribution-Functions-MCQs-2

Find the probability density of Y = X1+ X2
a) f(y) = 6(ey – e-3y ) for y < 0 elsewhere f(y) = 0
b) f(y) = 6(e-2y – e-3y ) for y > 0 elsewhere f(y) = 0
c) f(y) = 6(e-2y – e-y ) for y > 0 elsewhere f(y) = 1
d) f(y) = 6(e-2y – e-y/2 ) for y > 0 elsewhere f(y) = 0

Answer: B

Question. A dice is tossed twice ‘getting a number less than 3’ is termed as success. Hence the mean of the number of successes is
a) 1
b) 3/2
c) 1/4
d) 2/3

Answer: D

Question. The moment-generating function of a random variable which has probability density f(x) = 1/2e-|x| for – ∞ < x < ∞ is
a) Mx (t) = 1/2t+1
b) Mx (t) = 1/1-t2
c) Mx (t) = 1/-2t
d) Mx (t) = 1/t2

Answer: B

Question. Find μ1`of the discrete random variable x that has the probability distribution f(x) = 2(1/3x) for x = 1, 2, 3 – – –
a) 1/2
b) 0
c) 1
d) 3/2

Answer: D

Question. If the joint probability density of X and Y is given by

Random-Variables-and-Distribution-Functions-MCQs-3

Find the expected value of g(X,Y) = X/Y3
a) 13/84
b) 15/84
c) 84/13
d) 84/15

Answer: B

Question. From a bag containing 4 white and 6 red balls, three balls are drawn at random and if each white ball drawn carries a reward of Rs4 and each red ball Rs6, find the expected reward of the draw
a) Rs14.8
b) Rs15.6
c) Rs31
d) Rs16

Answer: B

Question. A number is chosen at random from the set 10.11,12- – -109; and another number is chosen at random from the set 12,13 ,14- – – 61. The expected value of their sum is
a) 95
b) 96
c) 97
d) 98

Answer: B

Question. If the probability density of X is given by

Random-Variables-and-Distribution-Functions-MCQs-4

To evaluate E[(2X+1)2]
a) 2
b) 1
c) 4
d) 3

Answer: D

Question. A and B throw with one die for a prize of Rs199 which is to be won by the player who first throws 6. If A has the first throw their respective expectation are
a) Rs 64, Rs 46
b) Rs 54, Rs 45
c) Rs 87, Rs 78
d) Rs 35, Rs 53

Answer: B

Question. The joint probability density function

Random-Variables-and-Distribution-Functions-MCQs-5

Of 2 random variables X and Y, find P[(X,Y)€A] where A is the region (x,y)/0 < x, ½, 1<y<2
a) 11/65
b) 11/80
c) 10/76
d) 67/80

Answer: B

Question. E(x2) = 91/6. Find the value of E(2 x2+1) is
a) 92/3
b) 91/3
c) 90/3
d) 94/3

Answer: D

Question. Three coins whose faces are marked 1 and 2 are tossed. Their expectations of the total values of numbers on their faces is
a) 9.5
b) 4.5
c) 3
d) 4

Answer: B

Question. A die is thrown at random. What is the expectation of the number on it:
a) 3.7
b) 3.1
c) 3.5
d) 3.8

Answer: C

Question. If the probability density of Xs given by

Random-Variables-and-Distribution-Functions-MCQs-6

Find the expected value of g(X) = X2-5X+3
a) 11/3
b) -11/3
c) -11/6
d) 11/6

Answer: C

Question. The expected value of X is usually written as:
a) E(X) or Σ
b) E(X) or μ
c) E(X) or φ
d) E(X) or λ

Answer: B

Question. What is the expected number of heads appearing when a fair coin is tossed three times?
a) 2.1
b) 1.5
c) 3.2
d) 4.1

Answer: B

Question. If the probability density of X is given by

Random-Variables-and-Distribution-Functions-MCQs-7

and Y = X2
The probability density of Y is

a) g(y) = e-y for y > 0 and g(y) elsewhere
b) g(y) = ey for y > 0 and g(y) = 0
c) g(y) = e-y for y< 0 and g(y) > 0
d) None of the options

Answer: A

Question. If the probability density is given by Where k is appropriate constant the probability density of the random variable Y = 2X / 1 + 2X
a) g(y) = k/16y3 .(1-y) for 0 > y > 1 and g(y) = 0 elsewhere
b) g(y) = k/16y3 .(1-y) for 0 < y < 1 and g(y) = 0 elsewhere
c) g(y) = k/16y2 .(1-y) for 0 < y < 1 and g(y) = 0 elsewhere
d) g(y) = k/16y9 .(1-y) for 0 < y < 1 and g(y) = 1 elsewhere

Answer: B

Question. The probability distribution for

Random-Variables-and-Distribution-Functions-MCQs-8

The variance of the random variable x is
a) 20
b) 21
c) 22
d) 23

Answer: A

Question. When 2 unbiased coins are tossed once, the variance of the number of head is
a) 1
b) 3/2
c) 1/4
d) None of the options

Answer: D

Question. For any random variable for which E(x) exists find the value of μ0
a) 0
b) -1
c) 2
d) 1

Answer: D

Teaching Aptitude
Full Syllabus MCQs

Business Statistics Random Variables and Distribution Functions MCQs with Answers

We hope you found the MCQs for Random Variables and Distribution Functions useful for your preparation. These questions have been designed as per the latest syllabus for Business Statistics to ensure complete coverage of the latest syllabus. Students are advised by our teachers to download Business Statistics MCQs in PDF format and practice these questions and solutions daily.

Best quality MCQs for Business Statistics Random Variables and Distribution Functions

Our expert teachers have referred to the latest textbooks to make these Business Statistics MCQs. Practicing these MCQs with answers daily will help get more marks and build a stronger understanding. You can also access specialized study material for Business Statistics to strengthen your understanding.

Random Variables and Distribution Functions Solved MCQs for Business Statistics

All questions provided here are as per the current academic year's books and syllabus. Our teachers have provided detailed answers for every Business Statistics MCQ to help you solve them yourself and then also verify your answers. We offer a full collection of MCQ questions for Business Statistics to ensure you can practice every topic within the chapter.

Benefits of Regular MCQ Practice for Random Variables and Distribution Functions

Consistent practice is the key to mastering Random Variables and Distribution Functions. Once you have solved these, we highly recommend attempting the online Business Statistics MCQ Test for the same chapter to improve your speed and accuracy.

Master Business Statistics Random Variables and Distribution Functions with Practice Sets

If you have upcoming tests, revise the concepts of Random Variables and Distribution Functions and then attempt these problems to identify any gaps in your knowledge. You can also explore our Sample Papers for Business Statistics to check your understanding level of these MCQs.

FAQs

Where can I download latest MCQs for Business Statistics Random Variables and Distribution Functions

You can download the MCQs for Business Statistics Random Variables and Distribution Functions for latest session from StudiesToday.com

Are the Business Statistics Random Variables and Distribution Functions MCQs available for the latest session

Yes, the MCQs issued for Business Statistics Random Variables and Distribution Functions have been made available here for latest academic session

Why are Random Variables and Distribution Functions important for students?

Learning Random Variables and Distribution Functions based MCQs will help students improve their overall understanding of important concepts and topics and help to score well in Business Statistics exams.

How can I practice Random Variables and Distribution Functions Questions?

You can practice Random Variables and Distribution Functions through worksheets, textbooks and online quizzes provided by studiestoday.com.

Where can I find Business Statistics Random Variables and Distribution Functions MCQs online?

You can find Business Statistics Random Variables and Distribution Functions MCQs on educational websites like studiestoday.com, online tutoring platforms, and in sample question papers provided on this website.

How can I prepare for Random Variables and Distribution Functions MCQs?

To prepare for Random Variables and Distribution Functions MCQs, refer to the concepts links provided by our teachers and download sample papers for free.

Are there any online resources for Business Statistics Random Variables and Distribution Functions?

Yes, there are many online resources that we have provided on studiestoday.com available such as practice worksheets, question papers, and online tests for learning MCQs for Business Statistics Random Variables and Distribution Functions

Can I find Business Statistics Random Variables and Distribution Functions practice worksheets online?

Yes, you can find printable Random Variables and Distribution Functions worksheets for Business Statistics on studiestoday.com.

How can I get more free MCQs with answers for Business Statistics Random Variables and Distribution Functions MCQs?

We have provided full database of free multiple choice questions with answers on studiestoday.com for Business Statistics Random Variables and Distribution Functions